21+ find point on plane closest to origin calculator

The shortest distance between a point and a line is its perpendicular distance. The distance between two points on.


Finding Point On Plane That Is Closest To Another Point Not On The Plane Youtube

Points closest to the origin and Dihedral Angles.

. The distance between point a b c R 3 and the plane A x B y C z D 0 is given by. Print the first k closest points from the list. Answer 1 of 5.

I am trying to find a point on the plane that is closest to the origin. 2 Y 2 Consider the function f xy 2x3 y on the. N x y z d n x x n y y n z z d.

To see that it is the closest. Multivariable-calculus Find a point on a plane that is closest to the origin Author. The Euclidean distance between these two.

Mathematically the equation for a plane is. As Bernard said the shortest distance from a point to a plane is along the perpendicular to the plane. 3 now just substitute in.

And here of course a perpendicular to the plane is or multiplying by 4 because I dont like fractions. A a B b C c D A 2 B 2 C 2. In either the coordinate or vector formulations one may verify that the given point lies on the given plane by plugging the point into the equation of the plane.

The line perpendicular to y 127 - 18x the goes through the origin is y fracx18. Which is explained as any point x y z whose projection along the plane normal vector n n. Add to FlexBook Textbook.

Find Point on Plane Closest to Origin. Consider two points with coordinates as x1 y1 and x2 y2 respectively. 2022-08-28 The first thing to understand is that the function you are.

This online calculator can find the distance between a given line and a given point. So the shortest distance from the point 0 0 1 to this plane is along the line x 2t y t z 1 t. Advanced Math questions and answers.

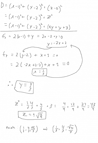
Finding point on plane that is closest to another point not on the plane. Also the point on the plane closest to. Find the coordinates of the point x y z on the plane z 2x 2y 1 which is closest to the origin.

After you do the above Result. When I plot the normal somehow it is not perpendicular to the plane. Given an array of points where pointsi x i y i represents a point on the X-Y plane and an integer k return the k closest points to the origin 0 0.


Angle Between The Two Vectors Explanation And Examples


Closest Point To The Origin Mit 18 01sc Single Variable Calculus Fall 2010 Youtube


Distance Between Planes Video Khan Academy


Shortest Distance Between A Point And A Plane Calculator High Accuracy Calculation


Unit Vector Perpendicular To Two Vectors Youtube


Example 15 Find Distance Of Plane From Origin Class 12


Find Point On Plane Closest To Origin Youtube


Distance From Point To Plane Math Insight


Online Calculator Distance From Point To Plane


If A And B Decided To Meet Between 2pm 3pm But No Longer Wanted To Wait For Each Of Them For More Than 10 Minutes How Do You Determine The Probability That They


201 ʻōhua Avenue Unit 2507 Honolulu Hi 96815 Compass


Distance From Point To Plane Calculator Calculator Academy


How To Find Projection Of Line On Plane With Example


Finding A Point On A Surface Which Is Closest To Given Point Physics Forums


Example 15 Find Distance Of Plane From Origin Class 12


Charge Engineering Reveals The Roles Of Ionizable Side Chains In Electrospray Ionization Mass Spectrometry Jacs Au


Example 17 Find Vector And Cartesian Equation Of Plane Which Passes

Iklan Atas Artikel

Iklan Tengah Artikel 1

Iklan Tengah Artikel 2

Iklan Bawah Artikel